圖一是最簡單的RC延時電路,目的是延時點亮LED。R1給C1充電,等電容電壓到達三極管基極導通電壓大概0.7V時,三極管開通,LED點亮,二極管D1是讓C1可以快速放電的作用。

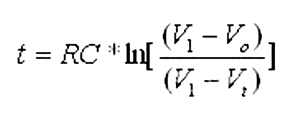
延時時間 ,其中V1為電源電壓,V0為電容初始時刻電壓,Vt為t時刻電容電壓。在這個電路里,V1=5V,V0=0V,Vt=0.7V。延時大概1.5S。
電路雖然結構簡單,但是要實現較大的延時就要選用大容量的電容,而且充電電阻R1不能太大,否則三極管不能處于開關狀態。

圖一

圖二
再看圖二,主要是多加了一個2.7V的穩壓二極管D2,這時候情況就有所改觀??梢钥吹?,令三極管開通的電容電壓提高了2.7V,也就是說Vt=0.7+2.7=3.4V。代入公式算得延時t=5.7S。
圖二中R3電阻是為了把穩壓二極管的反向漏電流導走,防止充電過程中三極管微導通。

圖三
最后看圖三,為了提高延時精度,使用了電壓比較器。電容電壓作為反相端輸入,R3和R2對電源的分壓作為同相端輸入。初始狀態時,V+ > V- ,比較器輸出高電平,LED不亮;當電容電壓升高到Vt時,V- > V+ ,比較器輸出低電平,LED被點亮。
R5是正反饋電阻,可以有效消除輸出抖動。要算出延時時間就要先算出Vt,初始狀態下,比較器輸出高電平,R5相當于與R3并聯,于是算出。

這里分壓電阻R3和R2采用了特殊的比值,使得取ln剛好為1,這樣延時時間僅僅由R1和C1來決定,給計算帶來了簡便,同時與電源電壓V1也沒有任何關系。這個電路可以用在延時精度較高的場合。
〈烜芯微/XXW〉專業制造二極管,三極管,MOS管,橋堆等,20年,工廠直銷省20%,上萬家電路電器生產企業選用,專業的工程師幫您穩定好每一批產品,如果您有遇到什么需要幫助解決的,可以直接聯系下方的聯系號碼或加QQ/微信,由我們的銷售經理給您精準的報價以及產品介紹
聯系號碼:18923864027(同微信)
QQ:709211280

